Нова хвиля хейту: Kalush Orchestra звинуватили у співпраці з російським лейблом
fakty 23-дек, 20:14 193 Культура
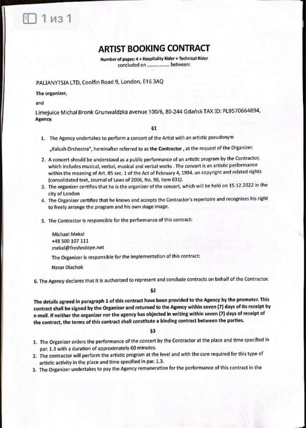
Переможці «Євробачення-2022» Kalush Orchestra після скандалу через спільну пісню з Skofka отримали нову хвилю хейту. Музикантів звинуватили у співпраці з російським лейблом. В мережі з’явилася інформація про те, що концерт Kalush Orchestra 15 грудня в Лондоні організувала російська компанія.

Проте музиканти спростували чутки та пояснили, що мають контракт із польською компанією-організатором, яка наймає підрядника. Коли музиканти дізналися, що ним може бути російська компанія, попросили замінити підрядника.
«У команди KALUSH — договір від самого початку з польською компанією Limejuice Michał Bronk, яка організовує і домовляється нам за всі концерти. Після того, як ми дізналися всю інформацію ще до проведення концерту, що компанія в Лондоні, до якої звернулася польська, може відноситися до росіян, наполягли на перевірці, через що польський організатор змінив підрядників і перепідписав договір з українською компанією «Паляниця», — прокоментував колектив для ТСН та показав договір.

Також лондонські активісти зверталися до гурту перед концертом, перевіряли інформацію, після чого зняли питання та закликали шанувальників прийти на концерт, опублікувавши відповідний допис у соцмережах.
Нагадаємо, на конкурсі «Євробачення» в Ліверпулі представить гурт TVORCHI з піснею «Heart Of Steel».
Дізнайтеся, як букмекери оцінюють шанси українських хлопців на конкурсі. Сообщает fakty.ua
Новости по теме
{related-news}

